Minél több fehérjét eszik a gyerek, annál jobb, különösen, amíg pici – tartja a legtöbb szülő. A legújabb kutatások szerint ugyanakkor a „minél több, annál jobb” elve tévhit. A túlzott, illetve nem megfelelő szerkezetű fehérje fogyasztása az első két életévben növeli mind a későbbi elhízás, mind az allergia kockázatát.
Minél több fehérjét eszik a gyerek, annál jobb, különösen, amíg pici – tartja a legtöbb szülő. A legújabb kutatások szerint ugyanakkor a „minél több, annál jobb” elve tévhit. A túlzott, illetve nem megfelelő szerkezetű fehérje fogyasztása az első két életévben növeli mind a későbbi elhízás, mind az allergia kockázatát.
Egy meglepő összefüggést igazolt több nemzetközi kutatás is a közelmúltban: kisgyerekkorban a fehérje túlzott fogyasztása, illetve a nem megfelelő szerkezetű fehérje érdemben növeli a későbbi elhízás kockázatát, sőt szerepet játszhat az – elmúlt 15 évben megtízszereződött gyakoriságú - allergia kialakulásában is.
Összefüggést találtak a túlzott fehérjebevitel és az elhízás között
A Pécsi Tudományegyetem Gyermekgyógyászati Klinikája is részt vett abban az európai kutatásban, amely azt vizsgálta, hogy milyen tényezők játszanak szerepet a gyerekek elhízásában. A kutatásban több mint 2500, két és kilenc év közötti gyermeket vizsgáltak. Dr. Molnár Dénes, a Pécsi Tudományegyetem Gyermekgyógyászati Klinikájának Igazgatója, a Magyar Gyermekorvosok Társaságának elnöke szerint az okok között természetesen ott van a kevés fizikai aktivitás és a rendszertelen táplálkozás (így a reggeli hiánya), de ezek mellett a vizsgálatok azt is kimutatták, hogy a túlzott, illetve nem megfelelő minőségű fehérje is kihat a későbbi testsúlygyarapodásra. „Ennek egyik magyarázata a túlzott, illetve nem megfelelő fehérjebevitel érdemi hatással van az ebben a korban kialakuló zsírsejtekre. A zsírsejtek számának növekedése mellett a túlzott fehérjebevitel fokozza az inzulintermelést, mely pedig fokozza az éhségérzetet, ami szintén hozzájárul a felesleges súlygyarapodáshoz. De a kialakuló vesék túlterhelése is olyan jelenség, amely miatt indokolt a fehérje túlfogyasztását kerülni.”
Nem mindegy, hogy mennyi és milyen fehérjével tápláljuk csecsemőnket, kisgyermekünket
A fehérje az emberi test fejlődése és egészsége szempontjából az egyik legfontosabb makro-tápanyag, amely 21 aminosavból áll össze. A fehérje a növekedés egyik legfontosabb eleme, minden sejt kialakulásához, pótlásához hozzájárul. Katalizátora minden kémiai folyamatnak a testben, szállítja többek között a vasat és az oxigént, segíti az immunrendszer reakcióit, felel a sav-bázis egyensúlyért, azaz például a megfelelő emésztésért, a jó anyagcseréért. A megfelelő fehérjebevitel tehát életfontosságú: az alultápláltság hosszútávon fejlődési rendellenességekhez, a kognitív fejlődés vagy a fizikai képességek fejlődésének sérüléséhez vezet. Ez azonban nem jelenti azt, hogy bármilyen mennyiségben hasznos a gyermekek fehérje dús táplálása, ahogy azt sem, hogy mindegy lenne, milyen fehérjével tápláljuk a gyermekünket. Az újabb kutatások azt is kimutatták, hogy rövid távon a túlzott fehérjebevitel felelős a vese méretének csökkenéséért, illetve a nem megfelelő bélrendszeri működésért.

Az anyatej és a bocitej fehérjetartalma nagyban különbözik
A csecsemő ideális tápláléka az anyatej, melynek fehérjetartalma és összetétele nem véletlen. Az anyatej a tehéntejjel összevetve például kisebb arányban tartalmaz fehérjét, de ennek a fehérjének az összetétele is különböző: egy, az ember számára nehezen, vagy egyáltalán nem emészthető fehérjéből, az úgynevezett kazeinből áll például a tehéntej 70 százaléka, míg az anyatej ebből a fehérjéből kevesebb, mint harmadnyit tartalmaz.
Szoptatás helyett tápszer – hogyan befolyásolja a baba testsúlyát?
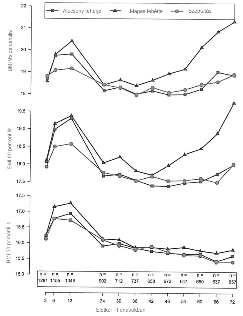
A túlzott mennyiségű, illetve nem megfelelő összetételű fehérjefogyasztás hatása több közelmúltbeli kutatásnak is a fókuszába került: innen tudjuk, hogy a szoptatás helyett kényszerűen, vagy mellette idővel kiegészítésként tápszerrel táplált gyermekek közül azok, akiket az anyatejnél jóval nagyobb fehérjearányú tápszerrel etettek, 2,5-szer nagyobb eséllyel lettek túlsúlyosak 6 éves korukig. Átlagos testsúlyuk pedig két éves korukra 90 grammal, 9 éves korukra 330 grammal lett magasabb az anyatejhez hasonló fehérje összetételű tápszerekkel etetett gyermekekkel szemben.
Kerülendő a magas fehérjetartalmú tápszer?
Molnár Dénes professzor szerint a kutatások eredményei is igazolják, mennyire fontos kisgyermekkorban az anyatejes táplálás, hiszen az anyatej fehérjetartalma az etalon. Ahogy az is fontos, hogy az anyatej helyett, vagy annak kiegészítéseként adott tápszerek gyártói ezen kutatásokra is figyelemmel törekedjenek fehérje-összetételben az anyatejhez legközelebb álló tápszerek előállítására. Ennek érdekében a legtöbb tápszergyártó csökkentette tápszereinek fehérjetartalmát. Fontos, hogy a nem szoptató anyukák a lehető legalacsonyabb fehérjetartalmú tápszert válasszák. Ezt segíti elő, ha a szülők is tisztában vannak azzal, mi alapján válasszanak gyermeküknek az első 2-3 életévben.
Mi az ideális fehérjeforrás a szoptatás után?
A szakember hozzátette: tudni kell azt is, hogy az elválasztást követően is fontos a fehérjebevitel optimális szinten tartása, és nem szükséges (későbbi életkorral ellentétben) a zsír bevitelének szoros korlátozása. A kisgyermekek számára ideális fehérjeforrás a szoptatás utáni időszakban a hús, a tojás és a hüvelyesek, valamint a tejtermékek közül a túró és a sajt.
Forrás: MAGYAR GYERMEKORVOSOK TÁRSASÁGA
Fotó: Freepik